华体会(中国)-华体会(中国) 华体会网页版登录入口 政策法规 产业市场 节能技术 能源信息 宏观环境 会议会展 活动图库 资料下载 焦点专题 智囊团 企业库
能源信息  节能产业网 >> 能源信息 >> 太 阳 能 >> 正文
新型无铅钙钛矿材料在室内光伏应用效率上创下新高
来源:cnBeta 时间:2020/11/18 22:26:32 用手机浏览

由于效率很是显著,基于钙钛矿的光伏技术已经取得了飞快的发展。然而对于注重环保的工程师们来说,其中含有的重金属铅,也是一个相对尴尬的存在。好消息是,近日来自中英联合科学团队的一项新研究,为我们揭示了一种更加安全、环保的新方案。更棒的是,其不仅能够从室内照明中获取能量,还有着相当惊人的效率。



\

研究配图- 1:晶体结构、X 射线衍射图、薄膜结构/光学性质、以及吸收系数。研究配图- 1:晶体结构、X 射线衍射图、薄膜结构/光学性质、以及吸收系数。



据悉,这项研究的重点,在于找到受钙钛矿启发、可用于下一代太阳能光伏面板的新型无铅材料(PIMs)。

其具有与卤化铅钙钛矿相似的典型结构,但不含相同的有毒成分,因而能够做到更加环保且安全。为此付出的代价,通常是难以达成相同的光能吸收效率。



\

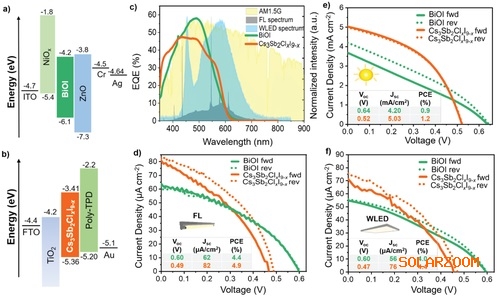
研究配图- 2:能带结构 / 光谱 / 器件电流密度与电压曲线。研究配图- 2:能带结构 / 光谱 / 器件电流密度与电压曲线。

不过在近日发表于《先进能源材料》期刊上的一项研究中,该团队已经介绍了某种演示用的 PIM 材料,并深入了解了它在室内照明条件下的性能表现。



结果发现,尽管带隙太宽,导致其无法在光伏面板类应用中胜任,但却相当适合在室内使用。



\

研究配图- 3:印刷器件的逆变电压传递特性和增益。研究配图- 3:印刷器件的逆变电压传递特性和增益。

研究人员指出,该 PIM 材料在阳光下的效率约为 1%,但在室内照明条件下的效率高达 5% 。


尽管与某些室内钙钛矿光伏面板的效率还有很大的差距,但丝毫不逊于目前的室内光伏行业标准。


\

研究配图- 4:单色光下的阶次功率范围 / 器件光损耗分析。研究配图- 4:单色光下的阶次功率范围 / 器件光损耗分析。

研究合著者,来自伦敦帝国理工学院的 Robert Hoye 博士表示:“通过吸收家中或建筑物常见灯具发出的光线,这些材料可将光再转为电能,且效率已达商业应用的水平”。


即便如此,研究团队仍已确定多项潜在的改进,以使新材料可在不久的将来达成超越目前室内光伏技术的性能,最终为手机、扬声器、可穿戴设备传感器等终端补充能量。


\

研究配图- 5:无铅钙钛矿光伏材料的效率与极限。研究配图- 5:无铅钙钛矿光伏材料的效率与极限。

研究合著者,来自苏州大学的 Vincenzo Pecunia 教授补充道:“除了具有环保的特性,新材料还可再非常规基材上架构,比如传统技术不兼容的塑料或织物面料上”。


展望未来,这项技术还有望为可穿戴设备、医疗保健监测、智能家居、以及智能城市等无电池设备供电。



            
分享到:
相关文章 iTAG:
没有相关文章
频道推荐
服务中心
微信公众号

CESI
关于本站
版权声明
广告投放
网站帮助
联系我们
网站服务
会员服务
最新项目
资金服务
园区招商
展会合作
节能产业网是以互联网+节能为核心构建的线上线下相结合的一站式节能服务平台。
©2007-2020 CHINA-ESI.COM
鄂ICP备19009381号-2
节能QQ群:39847109
顶部客服微信二维码底部
扫描二维码关注官方公众微信